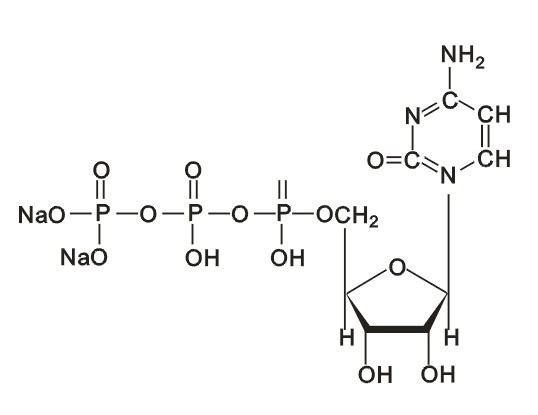
Cytidindiphosphat (CDP) ist ein Nukleotid, genauer ein Ribonukleotid. Es ist ein Ester der Pyrophosphorsäure mit dem Nucleosid Cytidin. Cytidindiphosphat besteht aus der Pyrophosphat-Gruppe, dem Pentose-Zucker Ribose und der Nucleobase Cytosin.
Es spielt zusammen mit CDP-Cholin (Cytidindiphosphat-Cholin) bei der Phosphatidsynthese (z. B. für die Biosynthese von Lecithin) und bei der Biosynthese von 2′-Deoxycytidin-5′-diphosphat (dCDP) eine Rolle.
Siehe auch
- Cytidinmonophosphat (CMP)
- Cytidintriphosphat (CTP)
Einzelnachweise




