Die Wurfparabel ist die Flugbahn, die ein Körper während eines Wurfs in einem homogenen Schwerefeld beschreibt, wenn man den Einfluss des Luftwiderstands vernachlässigt. Der schiefe Wurf stellt dabei den allgemeinen Fall dar – senkrechter und waagerechter Wurf sind Spezialfälle. Die Wurfparabel ist stets nach unten geöffnet; der höchste Punkt der Flugbahn ist der Scheitelpunkt der Parabel.
Auf der Erde ist das Schwerefeld nur bei kleinen Wurfweiten homogen und die Flugbahn somit parabelförmig. Genauer ist sie ellipsenförmig (Kepler-Bahn), allerdings unter Vernachlässigung des Luftwiderstandes.
Unter Berücksichtigung des Luftwiderstandes und Vernachlässigung des nicht konstanten Schwerefeldes ist die Wurfbahn eine ballistische Kurve.
Wurfparabel ohne Luftwiderstand
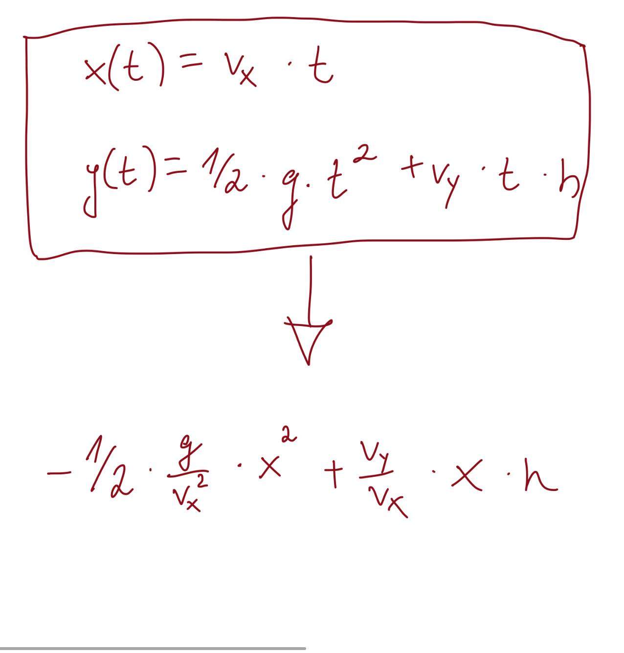
Grund für die Parabelform ist die Tatsache, dass während des Fluges nur die Schwerkraft auf den Körper einwirkt. Es liegt ein freier Fall vor. Zur Berechnung wird die Anfangsgeschwindigkeit in die zueinander senkrechten Komponenten und zerlegt, die unabhängig voneinander behandelt werden können. Die horizontale -Komponente ist völlig unabhängig von der vertikalen -Komponente, die nach oben gerichtet sei. Das hat folgende Konsequenzen (Startpunkt sei ):
- In horizontaler Richtung fliegt der Körper nach dem ersten Newtonschen Gesetz mit konstanter Geschwindigkeit dahin, da in dieser Richtung keine Kraft auf ihn wirkt; bei konstanter Geschwindigkeit ändert sich die Entfernung somit linear mit der Zeit. Für diese Entfernung gilt die Formel:
- In vertikaler Richtung bewirkt die Schwerkraft eine konstante Beschleunigung nach unten, nämlich die Schwerebeschleunigung . Für die Geschwindigkeit gilt:
- Der Ort ergibt sich daraus durch Integration über die Zeit zu:
- (→ allgemeine Formel des freien Falls)
Mathematische Beschreibung
Der Körper wird mit einer Geschwindigkeit unter dem Winkel schräg nach oben geworfen. Dann gilt für die Geschwindigkeitskomponenten, aus denen die Abwurfgeschwindigkeit durch lineare Superposition zusammengesetzt ist (unter Vernachlässigung des Luftwiderstands), mit dem Sinus und Cosinus:
- horizontal:
- vertikal:
Daraus ergibt sich für die - und -Ortskomponenten Folgendes:
- horizontal: horizontale Komponente der Anfangsgeschwindigkeit:
und
- vertikal: vertikale Komponente der Anfangsgeschwindigkeit plus Geschwindigkeitsänderung durch konstante Beschleunigung:
Die vektorielle Bahngleichung lautet dann:
Die explizite Bahngleichung im Ortsraum (indem man nach auflöst und dann in einsetzt) lautet:
Reichweite
Die Reichweite wird üblicherweise dadurch definiert, dass die Wurfparabel die Ausgangshöhe wieder erreicht, d. h.: . Damit kann man die Bewegungsgleichung nach auflösen und erhält:
Startwinkel für die maximale Reichweite
Da die Sinusfunktion bei ihren größten Wert hat, erreicht man bei Anfangshöhe die größte Reichweite für .
Maximale Reichweite mit einer Anfangshöhe h0 ≠ 0
Die Formel mit dem Arkuskosinus ergibt sich aus der Darstellung für den Arkussinus, und für die letzte Darstellung werden die Argumente der beiden vorhergehenden Formeln durch einander geteilt. Die Anfangshöhe darf höchstens so tief unter dem Ziel liegen, dass dieses bei einem senkrechten Wurf mit der Wurfweite gerade noch erreicht werden kann, also:
Die von der Abwurfhöhe abhängige maximale horizontale Wurfweite beträgt bei einer Flugdauer von .
Aus der Formel für die maximale Wurfweite ergeben sich durch Umstellen der Gleichung die minimale Abwurfgeschwindigkeit für vorgegebene Abwurfhöhe und Wurfweite zu sowie ein optimaler Abwurfwinkel von und eine Flugdauer von .
Für ergeben sich jeweils die bereits bekannten Formeln.
Obere und untere Winkelgruppe
Soll durch einen Wurf ein Ziel auf gleicher Höhe in einer gegebenen Entfernung erreicht werden, so gibt es für diese Aufgabe in Abhängigkeit von der Anfangsgeschwindigkeit entweder keine, eine oder zwei Lösungen. Der erste Fall tritt ein, wenn die maximale Reichweite geringer als die Entfernung zum Ziel ist; der zweite Fall, wenn das Ziel gerade noch durch einen Wurf von 45° zu erreichen ist. Für noch höhere Anfangsgeschwindigkeiten existieren dann stets zwei Winkel, bei denen die Wurfparabel beide Male zum Ziel führt; dies sind die beiden positiven Winkel, welche die Gleichung
erfüllen. Dabei ist stets genau eine Lösung größer als 45°, die andere kleiner als 45°.
Entsprechend werden in der Ballistik Lösungen mit einem Winkel über 45° als obere Winkelgruppe bezeichnet, die anderen als untere Winkelgruppe. Im Artilleriewesen spricht man von Steilfeuer mit einem Mörser beziehungsweise von flachem Feuer mit einer Kanone oder wahlweise beides mit einer Haubitze.
Beispiel
Für einen Wurf (oder Schuss) zu einem 100 m entfernten Ziel auf gleicher Höhe muss die Anfangsgeschwindigkeit unter den üblichen idealen Annahmen (keine Reibung, Schwerebeschleunigung von 9,81 m/s2) mindestens 31 m/s betragen. Mit diesem Wert für die Anfangsgeschwindigkeit ist es durch einen Wurf von 45° erreichbar und nur dadurch. Für jeden höheren Geschwindigkeitswert gibt es dann stets zwei Lösungen. Beispielsweise kann bei einer Anfangsgeschwindigkeit von 40 m/s das Ziel sowohl mit einem Winkel von 18,9° wie auch mit dem von 71,1° erreicht werden; die Flugdauer ist für Lösungen aus der unteren Winkelgruppe jeweils kürzer, im Beispiel beträgt sie etwa 2,6 s gegenüber 7,7 s für die zweite Lösung.
Reichweite bei von null verschiedener Anfangshöhe
Für gilt die allgemeine Formel
für die Wurfweite . Die maximale Reichweite und der zugehörige Startwinkel kann aus der einhüllenden Wurfparabel auch ohne Verwendung von Ableitungen bestimmt werden. Für ist , für folgt umgekehrt .
Scheitelpunkt
Koordinaten
Der Scheitelpunkt wird in dem Augenblick erreicht, in dem die vertikale Geschwindigkeit null beträgt, d. h., wenn eine bis dahin nach oben gerichtete Bewegung endet und eine nach unten gerichtete Bewegung beginnt. Im Scheitelpunkt wurde die gesamte kinetische Energie (in vertikaler Richtung) umgesetzt in potentielle Energie.
Den Scheitelpunkt kann man berechnen, da der Wurf eine Parabelform hat und der Scheitelpunkt genau in der Mitte zwischen den Nullstellen und liegt. Der Scheitelpunkt hat also die -Koordinate . Die -Koordinate erhält man durch die Bewegungsgleichung.
Aufgelöst, hat der Scheitelpunkt folgende Koordinaten:
Ortskurve aller Scheitelpunkte
Bei Abwurfhöhe liegen die Scheitelpunkte aller Wurfparabeln mit konstantem und variablem auf einer querformatigen Ellipse mit Mittelpunkt und Halbachsen und .
Erläuterung an einem Beispiel
Wären weder Gravitation noch Luftwiderstand vorhanden, so würde der Körper dem Trägheitsprinzip folgend gleichförmig bewegt in die gleiche Richtung und mit gleicher Geschwindigkeit wie zu Anfang weiterfliegen (roter Pfeil).
Das Erdschwerefeld lenkt den Körper jedoch nach unten ab – und zwar mit der Zeit quadratisch zunehmend:
- Nach 1 s liegt die tatsächliche Flugbahn um knapp 5 m tiefer als die Tangente am Ausgangspunkt (Abwurfpunkt),
- nach 2 s um das Vierfache (etwa 20 m),
- nach 3 s 45 m sowie
- nach 4 s 80 m und so weiter (Schwerebeschleunigung von 9,81 auf 10 m/s² gerundet).
Senkrechter Wurf
Der senkrechte Wurf ist ein wichtiger Spezialfall der Wurfparabel. Er lässt sich in zwei verschiedene Wurfrichtungen ausführen – nach oben (gegen die Schwerebeschleunigung) und nach unten (mit der Schwerebeschleunigung).
Der senkrechte Wurf nach oben entspricht einer ungestörten Überlagerung von geradlinig gleichförmiger Bewegung nach oben und dem freien Fall nach unten. Wenn man dies in einer Grafik darstellt, so ergibt sich eine symmetrische Parabel, deren höchster Punkt dem Umkehrpunkt (Scheitelpunkt) des Körpers entspricht. Dabei ergeben sich folgende Formeln:
- Die maximale Wurfhöhe
wird berechnet, indem man die Geschwindigkeit setzt, dann zunächst die
- Steigzeit
berechnet und schließlich mithilfe der unteren Gleichung ermittelt.
Es ergibt sich:
- Die Wurfdauer berechnet man, indem man in der unteren Gleichung setzt und dann die quadratische Gleichung für löst. Einfacher kann die Wurfdauer jedoch durch Verdoppelung von Letzterer ermittelt werden, da die Fallzeit gleich der Steigzeit ist.
Der senkrechte Wurf nach unten entspricht einer Überlagerung von geradliniger Bewegung nach unten und freiem Fall nach unten. Dabei ergeben sich folgende Formeln:
Waagerechter Wurf
Einen weiteren Spezialfall, für den sich die Gleichungen vereinfachen, bildet der waagerechte Wurf.
Einhüllende Wurfparabel
Wird bei gegebener Anfangsgeschwindigkeit (und Anfangshöhe ) der Startwinkel verändert, so erreichen die verschiedenen Wurfparabeln unterschiedliche Punkte in der (vertikalen) Wurfebene. Die Reichweite dieser Wurfparabeln wird durch die einhüllende Wurfparabel begrenzt.
Die Gleichung der Hüllkurve der Wurfparabeln lautet:
Sie entspricht demnach einem waagerechten Wurf () aus der maximal erreichbaren Wurfhöhe des senkrechten Wurfs mit dessen Anfangsgeschwindigkeit .
Wurfweite bei Würfen am Hang
Auch für Würfe an geneigten Ebenen kann man den Winkel für die maximale Reichweite bestimmen. Mit den Bezeichnungen im Bild und im Abschnitt #Mathematische Beschreibung berechnet sich aus mit den Additionstheoremen die Wurfdauer
und mit den Summenformeln zweier trigonometrischer Funktionen die horizontal gemessene Reichweite
Weil die Sinusfunktion bei ihren größten Wert hat, ist bei maximaler Reichweite
- oder
Demnach ist die maximale horizontale Reichweite
Integrale der Bewegung
Auf Gottfried Wilhelm Leibniz geht die Idee zurück, Bewegungen durch Bewegungskonstanten zu beschreiben, die auch Integrale der Bewegung oder kurz Integrale genannt werden. Beim schrägen Wurf ohne Luftwiderstand bleibt die (auf die Masse bezogene) Gesamtenergie
konstant, worin der Überpunkt die Zeitableitung symbolisiert. Der erste Summand ist die Kinetische– und der zweite die Potentielle Energie. Weil diese Größe über die Flugdauer konstant ist, entspricht sie der Kinetischen Energie zu Beginn auf der rechten Seite. Daneben ist auch
ein Integral. Mit den Bewegungsfunktionen lassen sich sogar alle konstanten Eingangsgrößen darstellen, beispielsweise ist die Schwerebeschleunigung
Wurfparabel mit Luftwiderstand
Der Luftwiderstand bremst proportional zu . Bei kleinen Geschwindigkeiten und kompakten Flugkörpern bleibt die Parabelform recht gut erhalten, wie man an der Flugbahn eines idealisierten Golfballs ohne Auftriebseffekte durch Drall und Grübchen erkennt. Bei einer Anfangsgeschwindigkeit von 65 m/s fliegt er etwa 200 Meter auf einer fast symmetrischen Bahn. Wie stark jedoch der Luftwiderstand auf einen Federball wirkt, zeigt nebenstehende Skizze für ebenfalls 65 m/s. Der Ball fällt am Ende seiner Flugbahn fast senkrecht zu Boden – und zwar schon nach 10 bis 15 Metern. Die maximale Flugweite wird außerdem nicht bei 45° erreicht, sondern bei einem Startwinkel um 20°. Bei kleineren Anfangsgeschwindigkeiten vergrößert er sich und nähert sich der 45°-Parabel an.
Bei Raketen mit kurzer Brennzeit (Kurzstrecken-, Luftabwehrraketen) ist die Form der Flugbahn ähnlich wie beim schrägen Wurf eines schnittigen Körpers. Die Reichweite wird dann von Anfangsgeschwindigkeit und Scheitelhöhe bestimmt, die ihrerseits vom Abschusswinkel abhängt.
Parabelflug
Der Parabelflug ist ein Flugmanöver, meist ausgeführt in großer Höhe, bei dem ein Flugzeug eine etwa halbminütige Wurfparabel beschreibt. Er dient zum Training der Schwerelosigkeit für Astronauten und für Experimente bei verminderter Schwerkraft, sogenannter Mikrogravitation.
Weblinks
- Interaktives Applet zur Veranschaulichung des schiefen Wurfs
- Video: Zweidimensionale Bewegung und Prinzip der ungestörten Superposition. Jakob Günter Lauth (SciFox) 2019, zur Verfügung gestellt von der Technischen Informationsbibliothek (TIB), doi:10.5446/40456.
Einzelnachweise


